御苗代中央火口丘(95073004)斜長石

特徴

Type 2~5の斜長石斑晶が存在する.斜長石の斑晶量は27vol%である.
単斜輝石+FeTi酸化鉱物+ガラスの組み合わせのメルト含有物を含み,それらの周囲の斜長石はAb成分に富む.稀に単斜輝石の含有物を含む.結晶の外形が機械的に破砕されている場合もある.

斜長石 Type 2, 3, 4 斑晶と石基のAn-MgO量

95073004pl234MgO.jpg

凡例

95073004pl234leg.jpg

斜長石 Type 5 斑晶と石基のAn-MgO量

95073004pl15MgO.jpg

凡例

95073004pl15leg.jpg

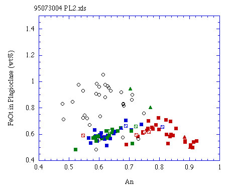
斜長石 Type 2, 3, 4 斑晶と石基のAn-FeOt量

95073004pl234FeO.jpg

凡例 はAn-MgO図に同じ

斜長石 Type 5 斑晶と石基のAn-FeOt量

95073004pl15FeO.jpg

凡例 はAn-MgO図に同じ

斜長石 Type 2, 3, 4 斑晶と石基のAn-K2O量

95073004pl234K2O.jpg

凡例 はAn-MgO図に同じ

斜長石 Type 5 斑晶と石基のAn-K2O量

95073004pl15K2O.jpg

戻る


トップ   新規 一覧 検索 最終更新   ヘルプ   最終更新のRSS