ボルタンメトリー (Voltammetry)

vol1.jpg
測定物性酸化還元電位
測定条件1000-1500℃,雰囲気制御可能
測定方法微分パルス法
ポテンショスタットBAS製電気化学アナライザー
印加パルス電位50mV
設計・製作菅原透,藤田善久,加藤光夫,吉田智,松岡純,三浦嘉也
履歴2007年〜2012年
設置場所滋賀県立大学工学部 (現在は行っていません)
vol5.jpg

 測定原理
 ボルタンメトリー法は高温の珪酸塩メルトにパルス状の電圧を印加しながらメルトを流れる電流を測定するものです.
 このうち,微分パルスボルタンメトリー(DPV)は、一定時間ごとに短いパルス状の電圧を階段状に加えたときの,パルス前とパルス後の電流の差分を測定します.このときの差電流(Δi)を縦軸にして電位とともにプロットし,ピーク電位の位置から酸化還元反応に関わる化学種を,ピーク電流の大きさからそれらの濃度を定量することができます.
 ボルタンメトリー法は,高温の"その場"でメルト中の微量成分の還元挙動を定量的に検出することができる利点があります.


 
vol2.jpg

 実際のボルタンメトリーセルの様子

 
vol3.jpg
 
vol4.jpg

 測定に用いたBAS製電気化学アナライザー

 
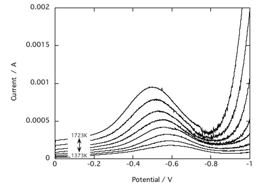
vol6.jpg

 測定例:74SiO2-16CaO-10Na2O–0.5 Fe2O3 (mol%)組成のメルトにおける酸素雰囲気における微分ボルタモグラム


トップ   新規 一覧 検索 最終更新   ヘルプ   最終更新のRSS