中温密度測定装置(Mideam-temperature densitometer)

mtd1.jpg
測定物性中温域のメルトの密度
測定条件500-1000℃,Ar雰囲気,塩化物融液と反応しないことが条件
測定精度800℃以下 ±1%,800-1000℃ ±0.1%
設計・製作菅原 透,塩野貴史
履歴2010年〜
設置場所滋賀県立大学 工学部 材料科学科

 測定原理
 測定原理は室温密度測定装置と同じアルキメデス法です.浸液に塩化物融液を用いて,白金ルツボに入れたガラスを沈めたときの質量を計測します.空の容器でも測定を行い,吊線の表面張力と白金の体積効果を補正し,ガラス試料の密度を求めます.塩化物融液は800から1000℃の範囲はNaClを,800℃以下ではNaClとCaCl2の共融点組成の融液などを用います.この装置は高温密度測定装置と比較して,より高粘性(すなわち低温側)のメルトに対して密度測定が可能な利点があります.


 
mtfig1.jpg

 装置図面
加熱炉を電動テーブルリフトで上下させることで測定試料を浸液に出し入れします.

 
mtfig3.jpg

 試料系の模式図
塩化物融液はニッカトーSSA-Sのタンマン管容器に入れます.

 
mtfig4.jpg

 揮発した塩化物が吊線に付着することを防ぐ目的で吊線の天秤側からArガスを一定の流速で流して排気しています.

 
mtd2.jpg

上の図の実際の様子です.

 
mtd5.jpg

 密度測定では浸液の対流を防ぐために均熱帯の長い加熱炉が必要です.本装置では3ゾーン式の加熱炉(アサヒ理化製 ARF3-500)を用いてそれぞれを独立に温調することで温度を均一化しています.開閉式のため試料の交換も容易にできます.

 
mtd3.jpg

試料を入れる特注サイズの白金ルツボ(長さ2cm).

 
mtd4.jpg

分析天秤の電磁式センサーは温度変化に極めて弱いため,加熱炉からの輻射を遮断する目的で吊線の途中をステンレス製オーリングで接続し,その中間にステンレスの遮蔽板を設置しています.天秤の据え付け台は水冷されています.

 
mtfig5.jpg

 計測プログラム
実験中はベースラインドリフトの計時変化の計測のために定期的に空測定を繰り返し,それを浮力計算時に減算しています.

 
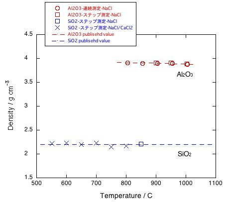
mtfig6.jpg

 測定例
本装置で測定した石英ガラスとAl2O3(サファイア)結晶の密度と文献値の比較.両者はよく一致しています.ケイ酸塩ガラス融液の密度は石英ガラスとAl2O3の中間に収まる値です.

 

トップ   新規 一覧 検索 最終更新   ヘルプ   最終更新のRSS